顺磁性和反磁性怎么判断(顺磁性和反磁性怎么判断公式)
顺磁性和反磁性怎么判断(顺磁性和反磁性怎么判断公式)
材料物理性能
第一章、材料的热学性能
一、基本概念 1.热容:物体温度升高1K所需要增加的能量。(热容是分子热运动的能量随温度变化的一个物理量)

添加图片注释,不超过 140 字(可选)
2.比热容:质量为1kg的物质在没有相变和化学反应的条件下升高1K所需要的热量。[与物质的本性有关,用c表示,单位J/(kg·K)]

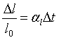
?
添加图片注释,不超过 140 字(可选)
3.摩尔热容:1mol的物质在没有相变和化学反应的条件下升高1K所需要的热量。用Cm表示。 4.定容热容:加热过程中,体积不变,则所供给的热量只需满足升高1K时物体内能的增加,不必再以做功的形式传输,该条件下的热容: 5.定压热容:假定在加热过程中保持压力不变,而体积则自由向外膨胀,这时升高1K时供给物体的能量,除满足内能的增加,还必须补充对外做功的损耗。 6.热膨胀:物质的体积或长度随温度的升高而增大的现象。 7.线膨胀系数αl:温度升高1K时,物体的相对伸长。

?
添加图片注释,不超过 140 字(可选)
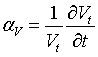
8.体膨胀系数αv:温度升高1K时,物体体积相对增长值。

?
添加图片注释,不超过 140 字(可选)
9.热导率(导热系数)λ:在单位温度梯度下,单位时间内通过单位截面积的热量。(标志材料热传导能力,适用于稳态各点温度不随时间变化。)q=-λ△T/△X。 10.热扩散率(导温系数)α:单位面积上,温度随时间的变化率。α=λ/ρc。α表示温度变化的速率(材料内部温度趋于一致的能力。α越大的材料各处的温度差越小。适用于非稳态不稳定的热传导过程。本质仍是材料传热能力。)。 二、基本理论
三、
1.德拜理论及热容和温度变化关系。
答:⑴爱因斯坦没有考虑低频振动对热容的贡献。
⑵模型假设:①固体中的原子振动频率不同;处于不同频率的振子数有确定的分布函数;
②固体可看做连续介质,能传播弹性振动波;
③固体中传播的弹性波分为纵波和横波两类;
④假定弹性波的振动能级量子化,振动能量只能是最小能量单位hν的整数倍。
⑶结论:①当T》θD时,Cv,m=3R;在高温区,德拜理论的结果与杜隆-珀蒂定律相符。
②当T《θD时,Cv,m∝

?
添加图片注释,不超过 140 字(可选)
。
③当T→0时,Cv,m→0,与实验大体相符。
⑷不足:①由于德拜把晶体看成连续介质,对于原子振动频率较高的部分不适用;
②晶体不是连续介质,德拜理论在低温下也不符;
③金属类的晶体,没有考虑自由电子的贡献。
2.热容的物理本质。
答:温度一定时,原子虽然振动,但它的平衡位置不变,物体体积就没变化。物体温度升高了,原子的振动激烈了,但如果每个原子的平均距离保持不变,物体也就不会因为温度升高而发生膨胀。
【⑴反映晶体受热后激发出的晶格波和温度的关系;
⑵对于N个原子构成的晶体,在热振动时形成3N个振子,各个振子的频率不同,激发出的声子能力也不同;
⑶温度升高,晶格的振幅增大,该频率的声子数目也增大;
⑷温度升高,在宏观上表现为吸热或放热,实质上是各个频率声子数发生变化。材料物理的解释】
3.热膨胀的物理本质。
答:由于原子之间存在着相互作用力,吸引力与斥力。力大小和原子之间的距离有关(是非线性关系,引力、斥力的变化是非对称的),两原子相互作用是不对称变化,当温度上升,势能增高,由于势能曲线的不对称性必然导致振动中心右移。即原子间距增大。
⑴T↑原子间的平均距离↑r>r0吸引合力变化较慢
⑵T↑晶体中热缺陷密度↑r<r0排斥合力变化较快
【材料质点间的平均距离随温度的升高而增大(微观),宏观表现为体积、线长的增大】
4.固体材料的导热机制。
答:⑴固体的导热包括:电子导热、声子导热和光子导热。
①纯金属:电子导热是主要机制;
②合金:声子导热的作用增强;
③半金属或半导体:声子导热、电子导热;
④绝缘体:几乎只有声子导热一种形式,只有在极高温度下才可能有光子导热存在。
⑵气体:分子间碰撞,可忽略彼此之间的相互作用力。
固体:质点间有很强的相互作用。
5.焓和热容与加热温度的关系。P11。图1.8
⑴①有潜热,热容趋于无穷大;⑵①无潜热,热容有突变
②等温转变,焓有突变;②磁性转变、BCC点阵的有序-无序转变。
③热容曲线发生不连续变化,焓曲线发生跃变;
④珠光体转变、铁的α→γ转变。
6.相变对热容、焓的影响。
答:⑴一级相变:固态的多型性转变属于一级相变(如珠光体转变、铁的α-γ转变),加热到临界点Tc焓的曲线出现跃变,热熔曲线发生不连续变化,这种曲线中转变的热效应即为曲线跃变所对应的焓变化值。【一级相变有潜热,如果是等温转变,则相变时焓的变化有突变,热容趋于无穷大】
⑵二级相变:是在一个温度范围内逐步完成的,焓随着温度的升高而逐渐增大,当接近临界点Tc,由于转变的数量急剧增多,Q的变化加剧,与此相对应的热容值则达到最大值,转变的热效应相当于阴影面积。【二级相变无潜热,热容有突变】
7.熔化和凝固。P10图1.7
答:⑴加热温度低于熔点时,加热所需热量随T缓慢上升;
⑵Tm处,熔化热qs,焓曲线拐折并陡直上升;
⑶液态金属热容比固态大。
8.热导率和温度的关系:
⑴金属:
低温
缺陷阻挡起主要作用
ρ0与温度无关,λ与T成正比
中温
声子阻挡主要作用
ρp与温度成正比,λ趋于常数
高温
声子阻挡和缺陷都起作用
λ随温度的升高先升高后降低
热导率比较:同一材料:多晶>单晶晶态>非晶体粉体<致密态。
⑵无机非金属:
①低温时有较高热导率的材料,随温度的升高,热导率降低;
②高温时有较低热导率的材料,随温度的升高,热导率升高。
9.热力学参数的影响因素。
答:⑴热容:①温度;②压力;③组分;④组织变化。
⑵热导率:
①金属:a.纯金属由于温度升高而使平均自由程减小的作用超过温度直接作用,因而纯金属的热导率一般随温度升高而降低。合金:合金的热导率则不同于异类原子的存在,平均自由程受温度的影响相对较小,温度本身的影响占主导作用,使声子导热作用加强,因此随温度的升高而升高;
b.原子结构;
c.合金成分和晶体结构:合金中加入杂质元素,使热阻增强,λ下降;
d.气孔率。
②无机非金属:a.温度;b.成分、结构;c.各向异性。
⑶热膨胀:①相变的影响;
②成分和组织的影响;
③各向异性的影响;
④铁磁性转变的影响。
10.材料的热膨胀与热容、熔点、德拜温度的关系:

?
编辑切换为居中
添加图片注释,不超过 140 字(可选)
13.热导率Fe-合金的膨胀反常机制:磁致伸缩抵消了合金正常热膨胀的结果。
四、基本技能
1.亚稳态组织转变、有序-无序转变(定性知道):
答:⑴亚稳态组织转变:不可逆转变时效回火相变有偏离直线关系,无线性关系。亚稳态能量高,变为稳态放热,而导致热熔曲线向下拐折。
⑵有序-无序转变:伴随着膨胀系数的变化。有序结构会使合金原子之间的结合增强,因此,有序化导致膨胀系数减小。
2.热分析法分析组织相变,DTA,膨胀分析(膨胀曲线、相变点)。
答:利用加热或冷却过程中,热效应所产生的温度变化和时间关系的一种分析技术。
建立合金相图:先确定合金的液相线、固相线、共晶线以及包晶线,再确立相区。
如:建立二元合金相图,取某一成分的合金,用示差分析法测定出他的DTA曲线。
试样从液相开始冷却,熔化曲线向上拐折,拐折的特点是:陡直上升,然后逐渐减小,直到接近共晶温度时,DTA接近基线。在共晶温度处,由于试样集中放出热量,所以出现一个陡直的放热峰,待共晶转变完成后,DTA曲线重新回到基线。取宽峰将起始下和宽峰的峰值对应的温度T2分别连成光滑曲线,得到液相线和共晶线。
3.电导与热导的关系,导热机制。
答:⑴对金属来说热导率和电导率的关系(维德曼-弗兰兹定律):
室温下许多金属的热导率和电导率之比λ/σ几乎相同,不随金属不同而改变表明导电性好的材料,导热性也好。
λ/σ=LT,L洛伦兹数。
洛伦兹数只有在T>0℃的较高温度才近似为常数;T→0K时,洛伦兹数趋于0。
⑵传热不同的传热方式,主要传导方式:
固体:自由电子、声子、光子。
纯金属:电子。
合金:电子、声子。
半导体、半金属:电子、声子。
绝缘体:声子。
【无机非金属:声子(晶格振动)辐射传热相当于光在介质中传播】
4.共析钢热膨胀曲线:
⑴热容(A最小)转变体积先膨胀,M>Fe3C>P>A;
⑵在加热时,温度到共析点以上,首先是铁素体转变为奥氏体,接着是珠光体转变为奥氏体;
⑶由于发生相变而造成体积收缩(陡直下降),当全为奥氏体时,温度升高,原子间距离增大,钢膨胀。
5.淬火刚的回火转变:淬火后组织:M+Ar
⑴80~160℃:发生体积收缩,此时析出ε相碳化物,体积收缩是由于碳化物析出,导致M正反度下降;
⑵230~280℃:发生了体积膨胀,表面淬火组织中Ar开始分解;
⑶260~360℃:体积收缩,M继续分解铁素体和渗碳体混合物;
⑷加热到535℃后,再缓慢冷却至室温,冷却曲线200℃附近出现拐折,表面535℃回火钢组织完全变为铁素体和渗碳体。
第二章、材料的电学性能
一、基本概念
1.压电效应:
⑴正压电效应:在某些晶体的一定方向上施加压力或拉力,则在晶体的一些对应的表面上分别出现正、负电荷,其电荷密度与施加外力的大小成正比。
⑵逆压电效应:如果一块晶体置于外电场中,由于电场作用,使晶体正负电荷中心发生相对位移而分离,这一极化又导致了晶体放热形变——电致形变。
2.热释电效应:在某些绝缘体中,由于温度变化而引起电极化状态改变的现象。
3.铁电体:固有电偶极矩的取向一致,E作用下,固有电矩转向。
4.光电导效应:半导体受光辐射时,电导率增加而变得易于导电。
5.PN结的光伏效应:当光照射在PN结上时,在PN结上会产生电动势的现象。
5.光电效应:某些物质受到光照后,引起物质电性发生变化,这种光致电变的现象。
6电介质:能在电场中极化的材料。
7.N、P型半导体:在半导体中加入某种杂质元素并控制其含量分布可以得到主要靠电子或者电子空穴来导电的半导体结构,前者称为N型半导体,后者称为P型半导体。
8.介电强度:指电介质在不发生电击穿条件下允许施加的最大电压

?
添加图片注释,不超过 140 字(可选)
。
二、基本理论
1.分析金属电阻产生原因?(缺陷、杂质)
答:量子力学证明:当电子波在0K下通过一个理想的晶体点阵时,它将不受到散射无阻碍传播。只有在晶体点阵的完整性以及由于晶体点阵离子的热振动,晶体中的异类原子、位错和点缺陷等使晶体点阵的周期性遭到破坏的地方,电子波会受到散射,从而产生了阻碍作用,导电性降低,这是材料产生电阻的本质所在。
2.马西森定律适用范围。
答:⑴ρ=∑ρi=ρ(T)+ρ残。ρ(T)为与温度有关的金属的基本电阻率,即溶剂金属(纯金属)的电阻率;ρ残为决定于化学缺陷和物理缺陷,而与温度无关的残余电阻率。
⑵意义:马西森定则忽略了电子各种散射机制间的交互作用,给金属的导电性做了简明的描述,并很好地反映了低浓度固溶体的实验事实。在高温时金属的电阻率基本上取决于ρ(T),而在低温下取决于ρ残。ρ残是点在在杂质和缺陷上的散射引起的,ρ残的大小就可以用来评定金属的电学纯度。
3.金属导电、半导体导电的载流子。
4.半导体导电机制。(理解)
答:(能带结构、本征激发、杂质引入)半导体晶体中,由于原子之间的距离很小,使得每一个原子中的价电子除受本身原子核内层电子的作用处,还受到其他原子的作用;在本身原子和相邻原子的共同作用下,价电子不再属于各个原子,而成为晶体中原子共有,正是这种价电子的共有化,使单个原子的价电子能级分裂成一系列相互之间能量差极微的能级,形成能带。
导带中自由电子→定向运动导带中电子和价带中空穴称为载流子
价带中空穴→导电杂质在禁带中产生附加能级。
5.金属导电机制。
答:⑴电阻率。组织结构敏感;
⑵金属导电载流子——自由电子。

?
编辑切换为居中
添加图片注释,不超过 140 字(可选)

?
编辑切换为居中
添加图片注释,不超过 140 字(可选)
⑶偶极子转向极化:偶极分子在无外电场的就有一定偶极矩P,但因热运动缘故,他在各方向概率相同,故无外场时,偶极电介质的宏观电矩为零。但有外场时,由于偶极子要受到转矩的作用,有沿外电场方向排列的趋势,而呈现宏观电矩,形成极化。非弹性、耗能、时间长。
⑷电子松弛极化:弱束缚电子、弱联系。电子短距离迁移导致极化。
⑸离子松弛极化:束缚力较弱的离子,在热的影响下做无规则的跳跃迁移,无外电场时无宏观电流;当外加电场后,由于正负离子沿逆电场跃迁率增大,形成正负离子分离产生介质极化。非弹性迁移、耗能、不可逆。
⑹空间电荷极化:一部分电介质中存在着可移动的离子,在电场作用下,正离子将向负电极侧移动并积累,而负离子将向正电极侧移动并积累,这种正负离子分离所形成的极化就是空间电荷极化。
⑺自发极化:特殊。无外场以及自发排列。

?
编辑切换为居中
添加图片注释,不超过 140 字(可选)
9.铁电体的特征。
答:具有居里点,其自发极化能因外电场而重新取向,铁电体只有在极化之后才能表现出热释电效应,是具有电畴结构的晶体。
⑴自发极化;无E,固有电偶极矩取向一致;有E,固有极矩沿外电场作用发生转向;⑵电畴;
⑶特征温度(居里温度)T<Tc铁电体;T>Tc顺电体;
⑷电滞回线;⑸介电特性。
10.涉及到相关参数、组织变化(只有金属电阻-组织敏感性参数、电阻分析、淬火钢回火、金属时效P77-78)
11.时效:含Cu4.5%的铝合金:20℃下低温时效,随时效时间变化电阻升高,温度提高25℃,电阻↓。低温时效电阻升高是由于时效的初期形成了极细小的弥散小区域(G-P区),使导电电子发生散射的缘故,G-P区是Cu原子在铝晶体点阵中占优势偏聚的结果;高温时效电阻降低,由于固溶体中析出了

?
添加图片注释,不超过 140 字(可选)
相,降低了溶质的质量。
12.测量溶解度:在ρ-ω(B)%的曲线上,转折点便是此温度的溶解度。
测量方法:将试样加热到共晶温度t0以下的某个温度,待其成分均匀后在淬火,若要测量t1下的溶解度,可将试样加热到t1,保持足够长的时间在淬火(目的是把高温下的组织固定下来)然后测量ρ,做出ρ-ω(B)%的关系曲线,定出转折。
13.电阻分析的应用。
答:⑴测量固溶体的溶解度;
⑵组织变化合金的时效低温电阻↑高温电阻↓
淬火钢的回火
冷加工退火低于再结晶温度,电阻↓高于再结晶温度,电阻↑⑶相变:有序-无序转变高温无序,电阻高低温有序ρ↓
室温无序→有序ρ↓→无序↑
马氏体相变高温无序

?
添加图片注释,不超过 140 字(可选)
有序
14.三种热电效应概念,应用关系。
答:⑴赛贝克效应(第一热电效应):当两种不同的导体组成一个闭合回路时,若在两接头处存在温度差,则回路中将有电势及电流产生;
应用:热电偶测温(金属)温差发电(半导体)
【①接触电位差:两种金属的自由电子密度不同,接触面两侧存在自由电子的浓度差,密度高扩散到密度低处形成的电场。
②温差电位差:热端的高能电子向冷端扩散使电子在冷端堆积带负电,而热端带正电,这样就形成温差电场。】
⑵珀尔帖效应(第二热电效应):当有电流通过两个不同导体的回路时,除产生不可逆的焦耳热外,还要在两接头处分别出现吸收或放出热量的现象。
应用:主要用于温差制冷小型恒温器
⑶汤姆逊效应(第三热电效应):当电流通过具有一定温度梯度的导体时,会有一横向热流流入或流出导体,其方向视电流的方向和温度梯度的方向而定。
应用:X射线管、阳极射线管、电子显微镜
关系:一个由两种导体组成回路,当两接触端温度不同时,三种热电效应会同时产生,赛贝克效应产生热电势和热电流,而热电流通过接触点时要吸收或放出珀尔帖热,通过导体要吸收汤姆逊热。
15.热电偶测温原理:根据赛贝克效应,将两种不同金属导体连接成回路,一种金属放入已知温度中,一种金属放入待测温度中,通过测量回路中电动势大小,计算出两种导体的温度差从而根据已知温度,计算出待测温度。
16.淬火刚的回火:⑴淬火后的回火温度在110℃时,电阻开始急剧下降,原因是产生了马氏体的分解;
⑵约在230℃时,电阻发生更为激烈的下降,原因是残余奥氏体分解的结果;
⑶在高于300℃,电阻则很少变化,说明固溶体分解基本结束。
15.影响金属电阻率的因素。
答:⑴温度。T↑,电子与声子碰撞加剧,使电子波散射加剧,ρ↑;
⑵异类原子(杂质合金元素)。杂质及合金元素增多,ρ↑;
⑶晶体缺陷(点、线、面缺陷)。缺陷使散射增多,ρ↑;
⑷相变。同素异构转变、凝固、熔化、有序-无序转变、铁磁-顺磁转变。
16.金属的导电性影响因素。
答:温度;成分、组成;相变、组织变化。
三、基本技能
第三章、材料的磁学性能
一、基本概念
1.自发磁化:铁磁体内部存在很强的分子场,在分子场的作用下,原子磁矩趋于同向平行排列,即自发的磁化至饱和。
2.磁化强度:单位体积的总磁矩。M=∑Pm/V。
3.矫顽力:从饱和磁化状态到磁场去除后得到剩磁Mr,再加反向磁场使M减小到零,此H0值称为磁矫顽力。磁性材料已经磁化到饱和后,使磁化强度减小到零所需的磁场强度。
4.磁极化强度:单位体积的磁偶极矩的矢量和。J=∑Tm/VJ=μ0M
5.饱和磁化强度:磁性材料在外加磁场中被磁化时所能到达的最大磁化强度。
6.磁导率:外磁场增加时磁感应强度增加的速率。μ=B/H。
7.磁化率:(表征磁介质属性的物理量)单位磁场感生出的磁化强度。Χ=M/H。
磁晶各向异性常数:K1K2关系磁化的难易各方向磁性不一样(晶体结构、形状各向异性)。
8.饱和磁致伸缩系数:随外磁场强度增加,材料将伸长(或缩短),最后稳定在某一尺寸,此时的磁致伸缩系数纪委饱和磁致伸缩系数。
9.磁滞:从饱和磁化状态a降低H时,μ将不再沿基本磁化曲线变化,而是落后于H变化的现象。
10.磁畴:未加磁场时,铁磁体内部已经磁化到饱和状态的区域。
11.磁致伸缩:铁磁体在磁场中被磁化时,形其状和尺寸都会发生变化
二、基本理论
1.分析抗磁性、顺磁性、反铁磁性、亚铁磁性的磁化率与温度的关系?
答:⑴抗磁体:①经典抗磁体:χ不随T变化;
②反常抗磁体:χ随T变化,且大小是前者的10~100倍。
⑵顺磁体:①正常顺磁体:其χ随T变化,且符合与T成反比关系;
②χ与T无关的顺磁体,Li、No。
⑶反铁磁体:χ是甚小的正常数,当T高于某个温度时,其行为像顺磁体;低于这个温度时,它的磁化率同磁场的取向有关。
⑷铁磁体:χ为很大的正常数。铁磁体高于居里温度时变为顺磁体。
P131图3.1。
2.简述影响金属及其合金铁磁性的因素有哪些?
答:⑴温度的影响。温度升高使原子热运动加剧,原子磁矩的无序排列倾向增大,而导致Ms下降;
⑵应力、形变、晶粒及杂质的影响。
①应力的影响:指弹性应力。当应力的方向与金属的磁致伸缩为同号时,则应力对磁化起促进作用;反号起阻碍作用。
②形变(加工硬化)的影响:加工硬化引起晶体点阵扭曲,晶粒破碎,内应力增加,他们都会对壁移造成阻力,使技术磁化困难,故会引起与组织结构有关磁性参数的改变。再结晶退火又能消除加工硬化引起的阻碍。
③晶粒细化的影响:晶粒细化与加工硬化的效果相似,这是因为晶界也是一种面缺陷,晶粒越细,晶界便越多,对磁化的阻力就越大。
④杂质的影响:杂质如C、N、Mn、P、S等,它们对铁的组织敏感参数的影响与他们存在的形态有关。当它们固溶于铁中便会造成点阵扭曲,而当他们呈夹杂物存在时使畴壁穿孔,这都会给壁移造成阻力,导致μ下降,Hc上升。
改善铁磁体μ的方法:⑴消除铁磁材料中的杂质;
⑵把晶粒培育到足够大,并呈等轴状;
⑶造成再结晶织构;
⑷采用磁场中退火。
3.铁磁体形成的条件?
答:⑴原子内部要有为填满的电子层,原子本征磁矩不能为0;
⑵交换积分常数A>0,要有一定的晶体点阵结构,一定的交换能。
4.抗磁性、顺磁性产生机制。
答:⑴抗磁性:对于电子壳层已填满的原子,无外侧时,总磁矩为0;而在外场作用下由于电子的轨道运动,产生附加磁矩△P,方向与外磁场方向相反,产生抗磁性。
⑵顺磁性:原子固有磁矩不为0,无外场时,由于热运动,其原子磁矩取向是无序的,故总磁矩为0,外场作用下,原子磁矩沿外场取向。
5.技术磁化的机制,实质,几个过程。
答:(定义:有外场作用下,铁磁体从完全退磁状态磁化到饱和的内部变化过程)
⑴①畴壁的迁移磁化(壁移磁化);
②畴壁的旋转磁化(畴转磁化)。
⑵过程:①可逆迁移区;②不可逆迁移区;③旋转区。
⑶实质:外磁场对磁畴的作用过程,也即外磁场把各个磁畴的磁矩方向转到外磁场方向的过程(磁矩沿外磁场转动。)
6.铁磁体的基本特征:
答:⑴自发磁化(最本质)原子磁矩自发有序排列;
⑵χ很大;
⑶磁滞回线:M(B)-H单值磁滞回线;
⑷Tc居里温度;
⑸各向异性;
⑹磁畴。
7..磁畴的大小和结构由哪些条件决定?
答:磁畴结构受交换能、磁晶能、磁弹性能、畴壁能和退磁能的影响,平衡状态的磁畴结构,应使这些能量之和为最小值。
8..磁化过程畴壁不可逆迁移机制:
答:畴壁发生巴克豪森跳跃,产生了强烈的磁化效应,即使出去外磁场也不能使畴壁回到原来位置,而是移到ЭE/ЭX=0处,故磁畴在外磁场方向保留了一定的剩余磁化性质。
9..凡是与自发磁化有关的参数都是组织不敏感量。饱和磁化强度Ms、饱和磁致伸缩系数λs、磁晶各向异性常数k、居里点Tc。
10..凡与技术磁化有关的参数都是组织敏感量。矫顽力Hc、磁化率χ、磁导率μ、剩余磁感应强度Br。
三、基本技能
1.分析应用。
⑴淬火刚回火:M与Ar分解引起饱和磁化强度Ms变化,由于多相系统Ms服从相加原则。Ms随回火温度的变化作为相分析的依据,从而确定不同相发生分解的温度区间,判断生成相性质。
⑵过冷A等温转变:饱和磁化强度MS与过冷A的转变产物的数量成正比,可选用Ms作测量参考,从曲线的拐点判断A等温转变曲线开始及终了时间。
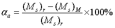
⑶测残A。

?
编辑
添加图片注释,不超过 140 字(可选)
第四章、材料的光学性质
一、基本概念
1.折射率:光在真空中和材料中的速率之比称为材料的折射率。

?
添加图片注释,不超过 140 字(可选)
c:光在真空中的速度;v:光在介质中的速度;n:介质折率。(光从真空射入介质发生折射时,入射角γ的正弦值与折射角β的正弦值的比值叫做介质的绝对折射率)
2.色散:材料的折射率随入射光的波长而变化的现象。
3.自发辐射:原子处于高能级,自发独立地向低能级跃迁,并发射一个光子的过程。
4.受激辐射:一个能量满足

?
添加图片注释,不超过 140 字(可选)
的光子趋于高能级E2的原子时,入射的光子诱导高能级原子发射一个和自己性质完全相同的光子的过程。
二、基本理论
1.光通过介质会发生哪些现象?
答:折射、反射、透射、吸收、色散、散射、发光。

?
编辑切换为居中
添加图片注释,不超过 140 字(可选)
3.折射率本质:反映了材料的电磁结构在光波电磁场作用下的极化性质或介电性质,正是因为介质的极化拖住了电磁波的步伐,使传播速度<真空c。
4.光与材料发生的相互作用实际是光子与固体材料中的原子、离子、电子等的相互作用。两种形式:
⑴电子极化:电磁辐射的电场分量与传播过程中的每一个原子发生作用,引起电子极化,即造成了电子云和原子核电荷重心发生相对位移,导致一部分能量被吸收,同时光的速度减小,导致折射率产生。
⑵电子能态转变:电子发生的能量变化

?
添加图片注释,不超过 140 字(可选)
。
①原子中电子能级是分立的,能级间存在特定的△E,因此,只有能量为△E的光子才能被该原子通过电子能态转变而吸收;
②受激原子不可能无限长时间地保持在激发状态,经过一个短期时间,它又会衰变回基态,同时发射电磁波,衰变途径不同,发射电磁波频率不同。

?
编辑切换为居中
添加图片注释,不超过 140 字(可选)
3.激光产生的条件。
答:⑴受激吸收(受激辐射):为此要实现粒子束反转即

?
添加图片注释,不超过 140 字(可选)
,用光泵对激活介质(提供亚稳态能级)进行能量激励,使低能级粒子跃迁至高能级的亚稳态能级;
⑵自发辐射机率(受激辐射的机率):
①受激辐射激励光子来源自发辐射;
②光子谐振腔:激光光子→受激辐射→光放大;
③增益>损耗。
⑶为产生激光,必须选择增益系数超过一定阀值的激活物质,在激光谐振腔的配合下,利用激光振荡,使轴方向传播的光波不断增强,并成为色彩极单纯,方向性极好能量密度极高的激光束。
4.光纤工作原理。
答:利用光的全反射原理,光纤由纤芯包层和涂敷层组成。包层的折射率比纤芯略低,两层间形成良好的光学界面。光线从一端以适当的角度入射纤维内部时,光纤内传播的光线发生全反射,无折射能量损失,这样光在内外两层之间产生反射而传到另一端。
5.极化有关、极化行为。
三、基本技能
第五章、材料的弹性及内耗分析
一、基本概念
1.内耗:一个固体材料棒即便是在真空中做弹性振动,它的振幅也会逐渐衰减,最后停止,说明振动能逐渐被消耗了。对于固体材料,这种内在的能量消耗称为内耗。
2.滞弹性:在弹性范围内,在交变载荷下表现为应变对应力的滞后。
3.弹性蠕变:物体受力后产生一部分应变,另一部分应变在一定时间内逐渐产生的现象。
4.弹性后效:去除外力后应变也并不立即消失,而是先消失一部分,另一部分也逐渐消失的现象。
二、基本理论
1.弹性模量的物理本质/弹性本质。
答:代表了产生单位应变所需施加的应力,是材料弹性形变难易的衡量;也表征着材料恢复形变前形状和尺寸的能力。从微观上讲。弹性模量代表了材料原子、离子或分子间的结合力。
2.表征材料原子间结合力的强弱的常用物理量参数有哪些?参数间的关系。
答:如:熔点、沸点、德拜温度的应力传播速度。
弹性模量与德拜温度:

?
添加图片注释,不超过 140 字(可选)
弹性模量与熔点:

?
添加图片注释,不超过 140 字(可选)
弹性模量与原子结构:

?
添加图片注释,不超过 140 字(可选)
,

?
添加图片注释,不超过 140 字(可选)
为原子间距。
3.简要说明产生弹性的铁磁反常现象的物理本质及应用。
答:⑴未磁化的铁磁材料,在居里温度以下的弹性模量比饱和磁化状态的弹性模量低(△E效应);
⑵未磁化的材料由于自身存在自发磁化,它的各个磁畴的取向排列是封闭的,当这种材料在外力作用下发生弹性变形时,还将引起磁畴的磁矩转动,产生相应的磁致伸缩(力致伸缩);

?
编辑切换为居中
添加图片注释,不超过 140 字(可选)
4.BCC间隙原子产生内耗的机制,间隙固溶浓度与内耗关系。
答:⑴间隙原子在点阵中引起的是不对称畸变,在应力作用下,溶质原子择优分布,即有序化,使相应方向伸长大于其他方向,该方向间隙位置能量比其他方向低,间隙原子沿该方向分布,产生应力感生有序化。
⑵溶质原子的有序是通过微扩散过程实现的,并由此而产生滞弹性行为,引起内耗,在一定温度下,由间隙原子在BCC点阵中应力感生微扩散产生的内耗峰与溶质原子浓度成正比,浓度越大,内耗峰越高。
由于内耗峰的高度只是固溶体中间隙原子的量度,且随固溶体脱溶而下降,故用来研究过饱和固溶体第二相的沉淀。
5.钢的饱和磁化强度Ms与过冷奥氏体的转变量成正比,因此,研究过冷奥氏体分解过程中各相的相对数量可用Ms做为测量参数。
测量时,先将试样放在磁极之间的加热炉中加热到奥氏体温度,然后加上强磁场,奥氏体顺磁性,不发生偏转,再迅速将加热炉换成等温炉试试样等温淬火。这时分解A→P、M、B为强铁磁相,随等温时间延长,Ms↑,试样偏转角越大,将偏转角换算成转变量,可绘A等温曲线。
不同温度下的转变开始时间和终了时间。
第六章、核物理检测方法及其应用
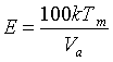
1.核磁共振:当交变磁场的频率v满足hv=

?
添加图片注释,不超过 140 字(可选)
时,其能量恰好是能级跃迁差,于是原子核便会强烈的吸收交变磁场的能量,而产生跃迁。
-
- 斧正的意思及用法(斧正的意思和用法)
-
2023-12-31 00:57:20
-
- 抗日战争人物(抗日战争人物事迹)
-
2023-12-31 00:55:05
-
- 小楼昨夜又东风(小楼昨夜又东风什么意思)
-
2023-12-31 00:52:50
-
- 世界公认十大好菜刀(世界公认十大好菜刀品牌)
-
2023-12-31 00:50:35
-
- 八爪金龙打一生肖(八爪金龙是什么动物)
-
2023-12-30 14:20:33
-
- 水浒传第40回概括(水浒传第40回概括50字)
-
2023-12-30 14:18:18
-
- 抖音人气(抖音人气票怎么免费领)
-
2023-12-30 14:16:03
-
- 产品手册内容包括哪些(产品手册内容包括哪些多选题)
-
2023-12-30 14:13:48
-
- 起立英语怎么读(起立英语怎么读三年级)
-
2023-12-30 14:11:33
-
- 恐怖小说十大巅峰之作(恐怖小说十大巅峰之作青囊尸衣)
-
2023-12-30 14:09:18
-
- 车速比较快的校园甜宠小说(车速比较快的甜宠小说)
-
2023-12-30 14:07:03
-
- 识别网图神器(识别网图神器软件)
-
2023-12-30 14:04:48
-
- 云南有哪几个市(云南有什么城市)
-
2023-12-30 14:02:33
-
- 叶辰是哪部小说的主人公(叶辰是哪部小说的主人翁)
-
2023-12-30 14:00:19
-
- 堑怎么读吃一堑长一智(吃一堑中的堑怎么读)
-
2023-12-30 13:57:17
-
- 220882开头的身份证是哪里的(220882开头是哪地方身份证)
-
2023-12-30 13:55:02
-
- 食指按眉心看前世风险(食指按眉心看前世风险会折寿吗)
-
2023-12-30 13:52:47
-
- 公孙仪相鲁而嗜鱼(公孙仪相鲁而嗜鱼文言文翻译)
-
2023-12-30 13:50:33
-
- 入目无他人四下皆是你是什么意思(入目无他人 四下皆是你 是什么意思)
-
2023-12-30 13:48:18
-
- 祝穆的拼音(祝穆的拼音怎么读)
-
2023-12-30 13:46:03



七夕的唯美句子,七夕节西餐厅的诗句唯美句子?
吃山竹有什么好处,山竹对女性有什么好处