现代分析学之父魏尔斯特拉斯:他用一个函数挑战了整个微积分学界,开创数学的
现代分析学之父魏尔斯特拉斯:他用一个函数挑战了整个微积分学界,开创数学的新纪元


在19世纪,数学家们将微积分的严格性提高到一个新的水平。然而,按照我们今天的标准,这些成就并不是无可挑剔的。当你拜读那个时期的数学文献时,犹如聆听音乐大师肖邦在一架三两琴键失调的钢琴上演奏乐章,固然能够怡然自得地鉴赏音乐的神韵,不过间或也会听到些许畸变之音。
只有在微积分中消除不精确性的最后痕迹,分析论证变成对于一切实用目的都是无可置疑的时候,数学的新纪元才能到来。魏尔斯特拉斯是实现这个最后转变的最大功臣。
魏尔斯特拉斯沿着一条非传统的道路崭露头角。他在学生时代,成绩并不优异,却热衷于狂饮啤酒和击剑。到30岁时,魏尔斯特拉斯成为德国一所偏僻的大学预科学校(高级中学)的教师,这所学校远离欧洲的学术中心。在白天,他对学生讲授算术和书法,只有在课余且批改完学生的作业之后,年轻的魏尔斯特拉斯方能致力于他的数学研究。
这位名不见经传的来自德国一个不知名小镇的中学教师,在1854年发表了一篇关于阿贝尔积分的论文。凡是读过这篇文章的数学家,无不惊讶万分。很明显,这篇论文的作者,必定是具有非凡天赋的奇才。不出两年,魏尔斯特拉斯在柏林大学谋求到一个职位,受聘为这所大学的教授,并跻身于世界杰出数学家的行列。他的事迹,算得上是一个真实灰姑娘的故事。
魏尔斯特拉斯对分析学作出的贡献是极为显著的,正如他的教学方法是举世闻名的一样。随着他的赫赫名声在德国和欧洲的传播,这位数学大师吸引着渴望师从他的年轻数学家们。在他的门下云集了一大批追随者。那时人们可以见到这样一种真实的场景,患有严重眩晕症的魏尔斯特拉斯坐在一把安乐椅上授课,而由一名指派的学生把他的话写在黑板上。(这样一种讲课方式令后来的教授们羡慕不已,然而是几乎无法重现的。)
如果说魏尔斯特拉斯的执教风格是异乎寻常的话,那么他对待发表研究成果的态度也是与众不同的。尽管他的讲课充满了新颖的观点和重要概念,但是他疏于发表文章,而是经常让别人从他们自己的著述中去传播这样的知识。因此人们发现,他的成果是笼统地属于魏尔斯特拉斯学派的。那些信仰“不发表就是毁灭”的现代学者们,很难理解这种非占有式的学术观念。魏尔斯特拉斯以创立具有重大意义的数学为己任,宁愿去冒毁灭的风险。
魏尔斯特拉斯学派通过魏尔斯特拉斯本人或者他的门生们发表的研究成果,对分析学赋予逻辑上的一种无与伦比的精确性。他矫正了许多难以捉摸的错误概念,证明了大量重要的定理,并且构造出一个令数学家们惊叹不已的处处连续而又不可微的函数的反例。他也被誉为“现代分析学之父”。
魏尔斯特拉斯不仅重新审视分析学中的各种定义,同时他还是应用它们证明重要定理的大师。而这也为他搭建起数学史上行将演绎的一个轰动事件的舞台:魏尔斯特拉斯病态函数。
数学家们早就知道,一个可微的(“光滑的”)函数必定是连续的(“不间断的”)函数,但是,反之不然。例如,一个像

这样的V字型函数是处处连续的函数,但是它在x = 0处是不可微的,它的图形在那里突然改变方向,形成一个拐角。
然而,人们曾经认为连续函数必定“多半”是光滑的。赫赫有名的安德烈·马里·安培(1775—1836)对连续函数通常是可微的命题曾经提出过一个证明,而且在19世纪整个前半期,微积分学教科书都支持这种见解。
这无疑是有吸引力的。任何人可以想象这样一幅连续的“锯齿”状图形,平滑地上升到一个齿角,然后下降到下一个齿角,接着再上升到另一个齿角,如此延续下去。当我们压缩“锯齿”时,得到越来越多不可微的点。尽管如此,似乎必定继续存在使函数图形从一个齿角平滑地上升或者下降到另一个齿角的区间。由此可见,几何图形表明,任何连续函数必定存在大量可微的点。
因此,当魏尔斯特拉斯构造出处处连续但是无处可微的函数时,引起巨大震惊,这是一个稀奇古怪的函数实体,它看起来是连续的,却是处处参差不齐的。这个函数被大多数人视为难以想象的,它不仅推翻了安培的“定理”,而且把几何直观作为微积分的可靠基础的主张逐出了历史舞台。
人们普遍认为,魏尔斯特拉斯是在19世纪60年代构造出他的例子的,并且在1872年7月18日把这个例子提交给柏林科学院。按照以往的习惯,魏尔斯特拉斯没有匆忙公布他的发现;直到1875年,这个病态函数才由保罗·杜布瓦·雷蒙(1831—1889)首次发表。
毋庸置疑,一个如此特殊的函数自然远非初等函数。就其学术上的复杂程序而言,它或许是本书中要求最苛刻的结果。但是,由于这个函数独具的违反直觉的特性,努力构造它是非常值得的,更不用说它具有的历史意义了。下面我们仿效魏尔斯特拉斯的论证,但是改变了他的记号,同时为了清晰起见,间或添加了某些细节。
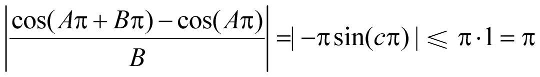
我们从一个引理开始,这个引理是魏尔斯特拉斯在证明中需要使用的。他用一个三角恒等式证明这个引理,但是我们给出利用微积分的一个证明。
引理 如果B > 0,那么

证明 令

是区间[A, A + B]上的函数。根据中值定理,在A和A + B之间存在一点c,使得

这个结果等价于

由此推出

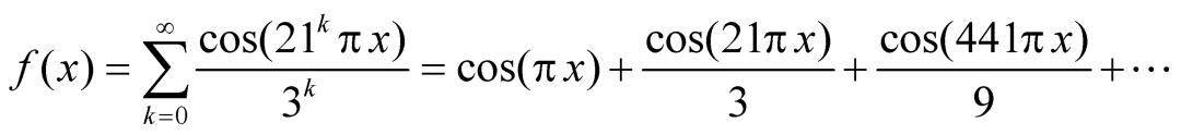
现在我们用魏尔斯特拉斯本人当初的表达方式介绍他的著名反例。
定理 如果 a ≥ 3 是一个奇数,b是严格介于0与1之间的一个常数且满足

,那么函数

是处处连续的和无处可微的。

魏尔斯特拉斯病态函数(1872)
证明 显然,魏尔斯特拉斯在对a和b设置这些离奇的约束条件之前,已经进行了大量收集材料的准备工作。为了简化讨论,我们将取a = 21和b = 1/3。这种选择满足定理中设定的条件,因为 a ≥ 3 是一个奇数,b位于区间(0, 1)内,并且

。所以,我们的特定函数将是

(3)
为了证明f的连续性,只需应用M检验法。显而易见,

,而

收敛于3/2。因此,这个级数一致收敛于f。由于每个直和项

是处处连续的,所以根据前面的定理1,f也是处处连续的。
对于证明函数f是处处连续的和无处可微的,看起来我们已做了一半工作,然而,证明它是“无处可微的”部分却是难上加难的。为此目的,我们从固定一个实数r开始。我们的目标在于证明

是不存在的。由于r是任意的,这个结果也就证实f无论在什么点都是不可微的。
在下述魏尔斯特拉斯推理中,汇集一些看上去没有联系的问题的若干结果是有益的。毫无疑问,其中每个结果都会在他的盛大演出的某个场合扮演重要角色。
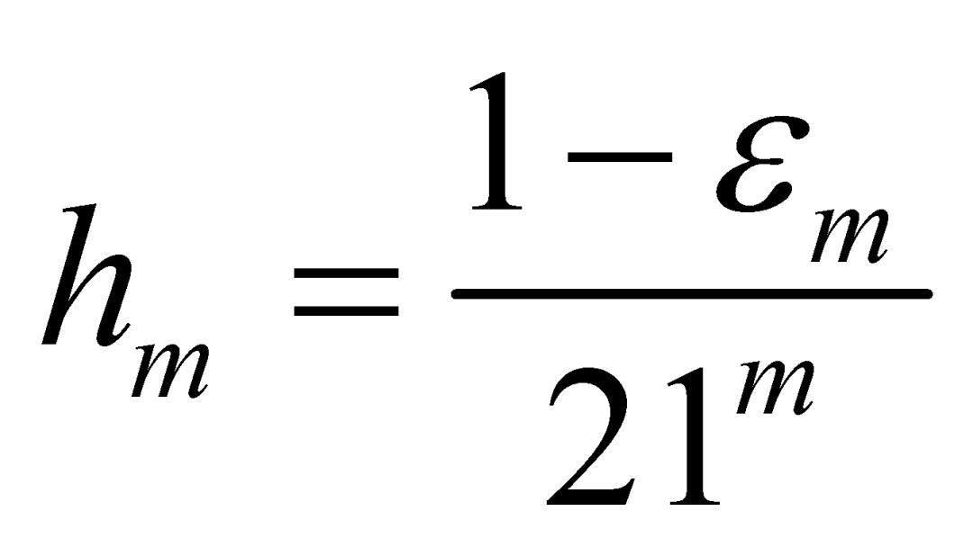
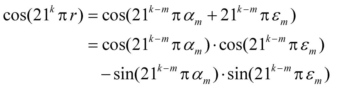
首先,魏尔斯特拉斯注意到,对于每个m = 1, 2, 3, …,实数21 mr(像任何实数一样)处于同它最接近的整数的半个单位的范围内。因此,对于每个整数m,存在这样一个整数αm,使得

(参见图9-7)。令

为
![]()
同21 mr之间的间距,我们看出

(4)

图 9-7
由于

,所以

。为了便于表示,我们引入

,并且注意

和

(5)
现在,根据挤压定理,

足以保证

。这个正数项序列将在证实f (x)的不可微性中起决定性作用。
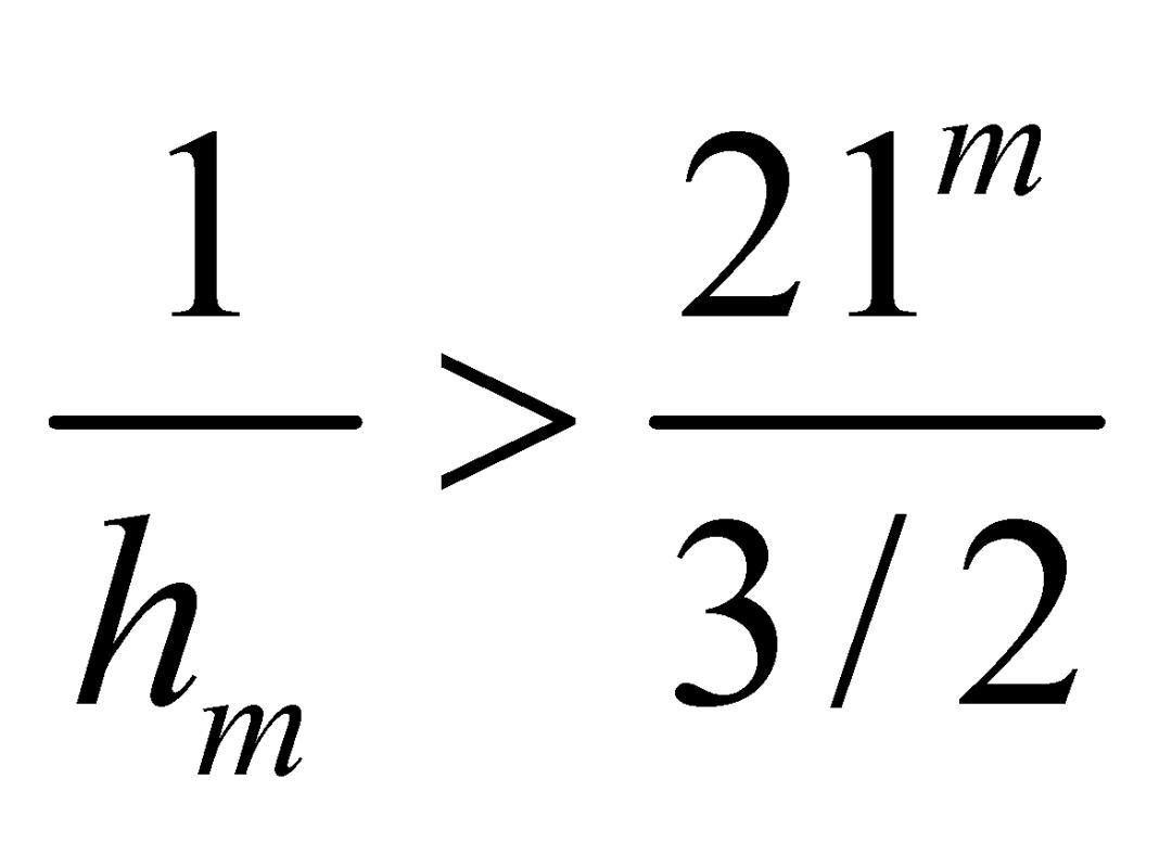
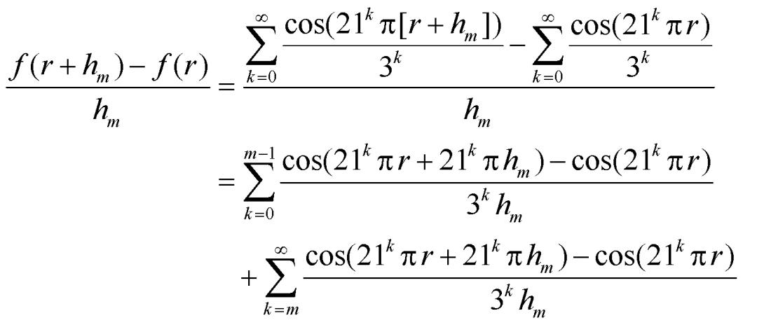
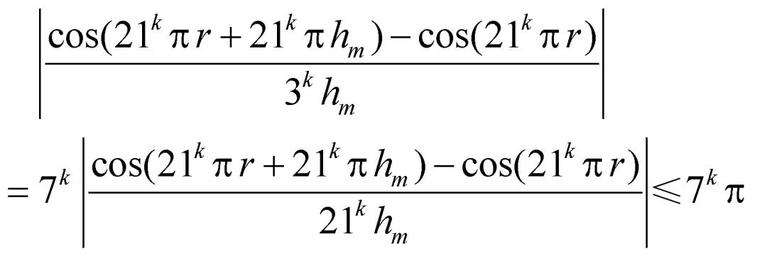
这时,我们(暂且)固定整数m。像魏尔斯特拉斯所做的那样,我们利用式(3),并且考察微商:

(6)
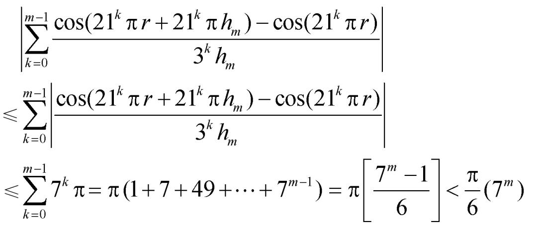
在此,无穷级数已经被分成两部分。魏尔斯特拉斯将分别考察每一部分的绝对值。
对于第一个级数,我们应用引理,并取

和

,确定每个直和项的界如下:

于是,由三角不等式,我们得到第一个级数的一个上界:

(7)
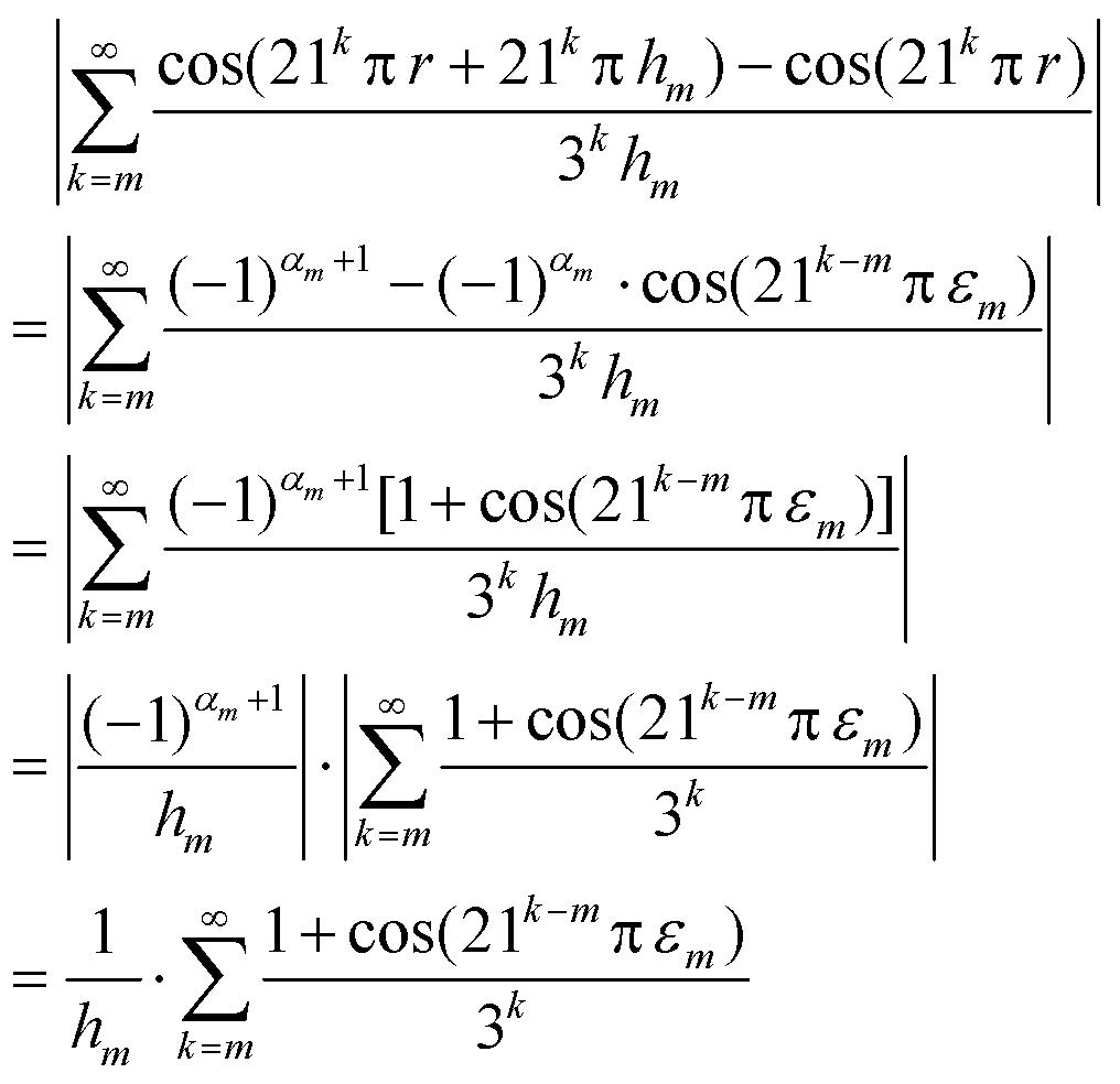
式(6)中的第二个级数提出一个更大的挑战。为了确定它的绝对值,我们进行四项相关的考察:
(A)如果k≥m,由式(4)和式(5)看出

但是

是一个奇数,而αm也是一个整数。因此,

等于 π 的偶数倍或者奇数倍,这取决于

为偶数或者奇数。由此推出

(B)我们再限定k≥m,并且利用式(4),得到

由一个众所周知的三角恒等式,我们得到

此处

等于π的偶数倍或者奇数倍,这取决于
![]()
为偶数或者奇数,所以

(C)(这是一项容易求得的结果)由于余弦的性质,

(D)由于

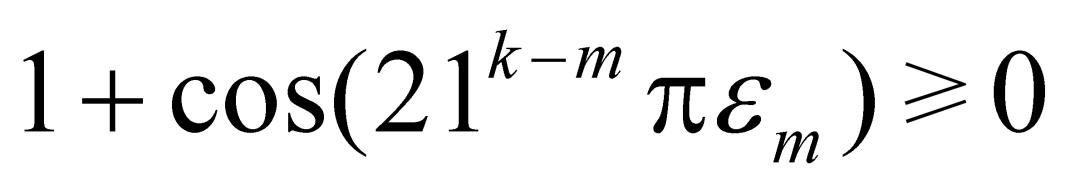
,可知

,所以

。
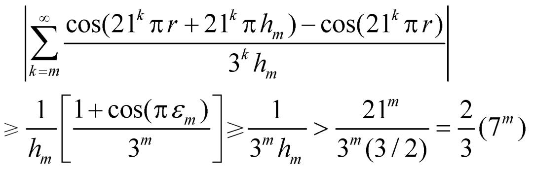
现在,对于式(6)中第二个级数应用(A)和(B)的结果,得到它的绝对值的一个下界:

最后一个等式成立是因为根据(C),级数中的每一项取非负值。
这个非负项级数的和必定大于它的第一项(其中k = m),所以根据(D)和式(5),我们得到

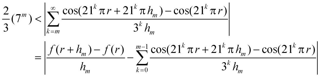
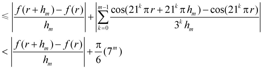
以上全部推导,落下了正剧之前的冗长序幕。魏尔斯特拉斯此时导出了关键性的不等式,他从刚才证明的结果开始,最终确定函数f (x)的微商的界限:

(根据式(6))

(根据式(7))
从这一串不等式中的第一个和最后一个,我们推出

(8)
表达式(8)具有两个主要特性:第一,数

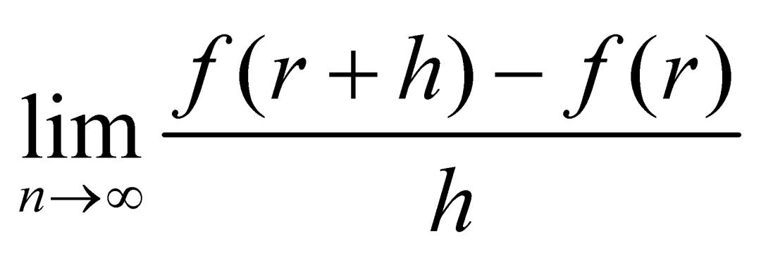
是一个正常数。第二,式(8)中的不等式对于我们所取的固定的自然数m成立,而m是随意取的。考虑到这一点,我们现在“不固定”m,并且取极限:

但是我们注意到,当

时

。因此,


不能作为一个有限量存在。简单地说(简单吗?)
![]()
在x = r是不可微的。同时,由于r是一个未指定的实数,这就证实魏尔斯特拉斯定义的函数是无处可微的,尽管它是处处连续的函数。
当读者从魏尔斯特拉斯论证的震撼下恢复平静时,多半会产生一些反应。反应之一会是对他所表现的才能万分惊讶。他在整合这个证明中显示出的天赋是出类拔萃的。
另一个反应是可能产生某种不安的感觉,因为我们恰好证实了一个连续函数可以不存在可微性点。函数的图形无处是平滑地上升的或者下降的。在它的图形上没有一点存在一条切线。这是一个离奇的函数,它的每个点好似一个尖角,然而它又是处处连续的。

的图形是否会给我们一些启发呢?很遗憾,由于f是函数项的一个无穷级数,我们只能停留于画出部分函数和的图形。例如,我们在图9-8中仅画出第3个部分和

的图形。这个图形显示出大量的方向改变以及某种急剧上升和下降的特性,但是没有尖角。事实上,魏尔斯特拉斯函数的任何部分和只包含有限的余弦项,因而是处处可微的。无论画出哪个部分和的图形,我们都不能从中找到一个角点。然而,当我转向求极限产生f本身时,必定处处出现角点。魏尔斯特拉斯函数超出我们直觉所能理解的范围,是远非可以用几何图形画在黑板上的。但是从上面的证明看出,它的存在是毋庸置疑的。

图 9-8
对于魏尔斯特拉斯这个论证的最后一个反应必然是为它的高度严格的标准喝采。犹如一位音乐大师指挥一支著名的管弦乐队,魏尔斯特拉斯把基本定义、绝对值以及大量的不等式融合成一个协调的整体。在他的证明中,看不出任何处理是随心所欲的,不存在丝毫凭直觉的痕迹。所以后代的分析学家们对他的最高赞誉是这个证明展现了“魏尔斯特拉斯的严格性”。
毫无疑问,对于一个如此病态的函数,并非人人都会感到兴奋。某些批评者毅然反对存在一个把不等式作为对付直觉的王牌的数学世界。我们在前面一章介绍过的查尔斯·埃尔米特,对于这个发现黯然神伤,哀叹道:“从这场令人惋惜的没有导数的函数灾难中,我深感震惊和恐怖”。亨利·庞加莱(1854—1912)把魏尔斯特拉斯举出的病态函数的例子称为“一种对常识的蹂躏”。 受到的触怒的埃米尔·皮卡(1856—1941)则这样表达他的愤慨:“要是牛顿和莱布尼茨曾经想到连续函数不一定存在导数,…… 他们就无需发明微分法了。”不过,这些仿佛从伊甸园走出来的数学家信以为真的建立在直觉形式和几何基础上的微积分已经永远消失了。
但是,魏尔斯特拉斯的推理是严密的。只要不抛弃极限、连续性和可微性的定义,或者不拒绝赋予分析学家们引进无限过程的权利,那些批评家就注定要失败。倘若遇到像一个连续而又无处可微的函数这种直觉上的困难,那么学者们理应修正他们的直觉,而不是抛弃他们面前的数学。分析学的严格性因为柯西而提高,又因为魏尔斯特拉斯而达一个新的顶峰。无论人们是否喜欢它,逆转终归是不可能的。
在持续不断的起伏中,数学家们建立起雄伟的理论体系,然后寻找足以揭示他们的思想界限的恰当反例。这种理论与反例的对照成为正确推理的引擎,凭借这种工具,数学得以进步。因为我们唯有知道某些特性是如何丧失的,方能了解它们是怎样发挥作用的。同样,我们唯有认清直觉是如何把人引入歧途的,方能如实地评价推理的威力。

《微积分的历程:从牛顿到勒贝格》
邓纳姆 著
李伯民 汪军 张怀勇 译
本书荣获“第七届文津图书奖推荐书目”。
这不是一本数学家的传记,而是一座展示微积分宏伟画卷的陈列室。书中的每一个结果,从牛顿的正弦函数的推导,到伽玛函数的表示,再到贝尔的分类定理,无一不处于各个时代的研究前沿,至今还闪烁着耀眼夺目的光芒。
-
- 扒开“原始股”骗局底裤,你的钱到底是怎么没的?
-
2025-02-14 09:14:33
-
- 盗亦有道:林觉民遗书被劫,强盗看完失声痛哭,将之恭敬送回
-
2025-02-14 09:12:18
-
- 中国医科大学21年各省专业录取分数线
-
2025-02-14 09:10:03
-
- 中国十种常见的食用鱼
-
2025-02-14 09:07:47
-
- 平民进阶必备锦囊《全民英杰传》新手攻略合辑
-
2025-02-14 09:05:32
-
- 中国30个美景古镇(景点、美食攻略)
-
2025-02-14 09:03:17
-
- 悬案集中营:国内至今未破的十大悬案盘点
-
2025-02-14 09:01:02
-
- 扒一扒孙姓起源和孙姓祖先的故事
-
2025-02-14 08:58:47
-
- 98《水浒传》幕后:李雪健不愿演宋江,丁海峰“打虎”吓到腿发软
-
2025-02-14 08:56:32
-
- 1992年,中国弃婴被美国人收养,考上耶鲁大学回国寻亲,结局如何
-
2025-02-14 08:54:16
-
- 推荐三本婚恋生活小说,甜甜蜜蜜,书荒必追!
-
2025-02-14 08:52:01
-
- 130只走私穿山甲被查获后,寄养在人工繁育机构全部“因救护失败死亡”
-
2025-02-14 08:49:46
-
- 生而硬派!测距、空气检测、热成像三合一CAT S61最牛铁人手机!
-
2025-02-14 08:47:31
-
- 中国大案要案纪实-014.新中国第一悍匪白宝山的不归路!
-
2025-02-14 08:45:15
-
- 张国荣21部经典电影合辑
-
2025-02-14 08:43:00
-
- 高鑫与王一楠:娱乐圈感人婚姻,坚守与互扶的真爱传奇
-
2025-02-14 08:41:45
-
- 亲子活动 深圳动物园,近万只小动物近距离接触,领略地球生命奇妙
-
2025-02-14 08:40:44
-
- 内蒙古“赤峰市”概述
-
2025-02-14 08:37:33
-
- 20位中国古代著名的女诗人
-
2025-02-14 08:35:18
-
- 盘点:40部经典古装电视剧,看过8部以上,说明你已经老了
-
2025-02-14 08:33:02



黄宏自曝“被免职”真相:年纪大熬不住,离职退休
ipx7防水级别对照表